• 快看!青岛昌乐二中学子的精彩寒假生活
  • 发布人: 发布日期:2024-02-23

聚桌前共享团圆,不停学奋勇向前。青岛昌乐二中高级中学的莘莘学子秉持着“德智体美劳”全面发展的原则,放假不停学,借着喜迎甲辰龙年春节的机会,积极推进家庭文明建设课程的进行。


01

·走亲访友·

积善之家,必有餘庆。家庭文明是社会文明高塔的“累土”,建设相亲相爱的家庭关系,弘扬向上向善的家庭美德,体现共建共享的家庭追求,推动社会主义核心价值观在家庭落地生根。走亲访友,其乐融融,青岛昌乐二中学子们一直在路上。

图片
图片
图片
图片


02

·假期学习·

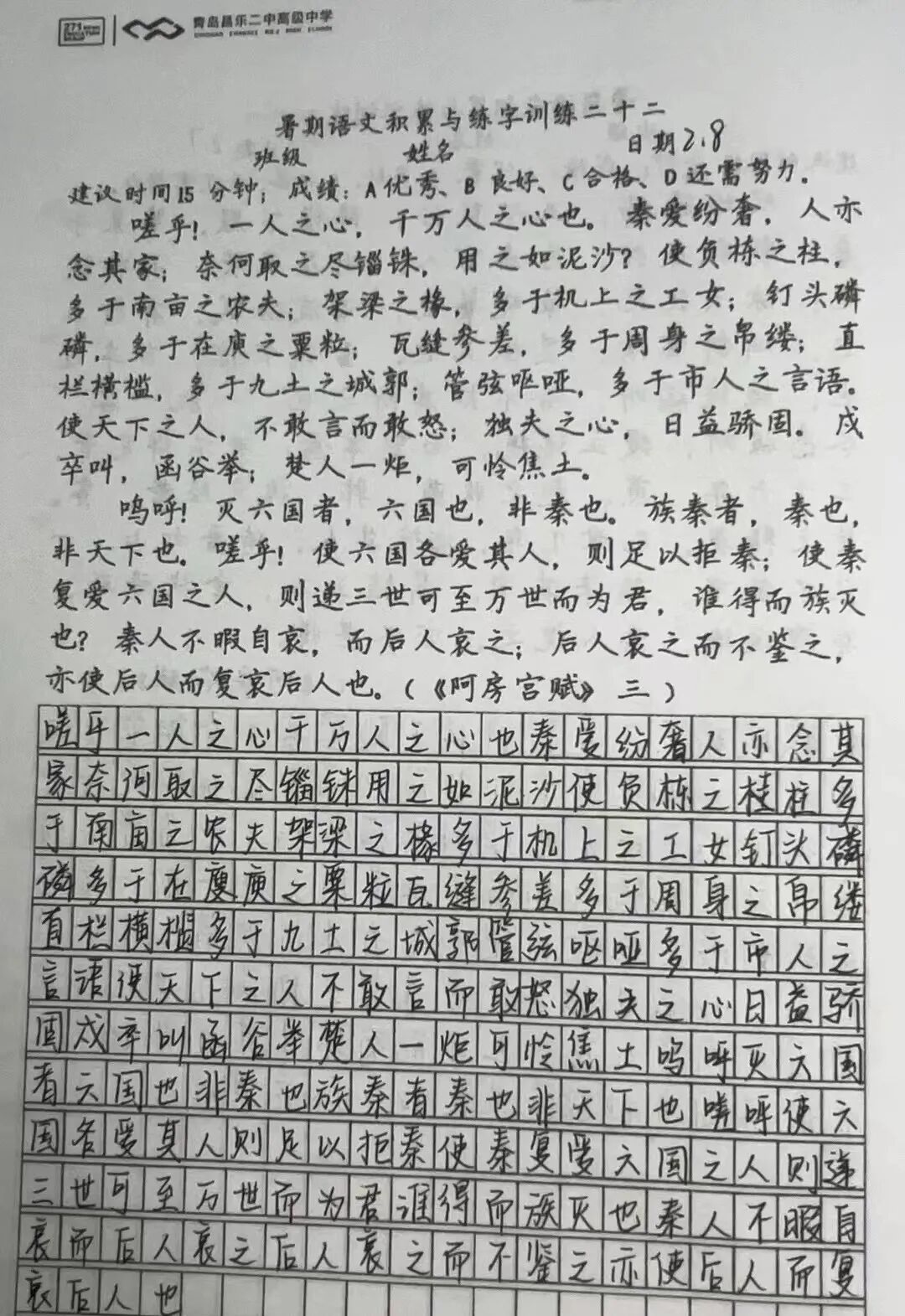
志不求易者成,事不避难者进。寒假不停止,学习正当时,写书法,诵诗词,引经据典,尽在掌握。悠悠书香,点点墨趣,最能致远。努力生根发芽,自有破土之日,那时的自己,风雨不惊,沐浴阳光。

图片
图片
图片
图片
图片
图片
图片
图片


天下之本在国,国之本在家,家之本在身。相信同学们都能在这个寒假的家庭文明建设课程当中提升自身的文化素养,锻炼自己的能力,真正做到“德智体美劳”全面发展。最后,祝愿同学们在这个甲辰龙年中:平安喜乐,诸事顺遂,璀璨如星,纯粹似月!